Das ist die 1.kombinierte Veröffentlichung der Ergebnisse aus der deutsch- und englischsprachigen Datenerhebung „Saugzeit“ des Internetportals www.borreliose-nachrichten.de.
Wir werden an dieser Stelle regelmäßig zusätzlich eingegangene Daten publizieren.
Wie lange schätzen Sie die Saugzeit der Zecke in Stunden ein?
Insgesamt befragte Personen: 220
Insgesamt genannte Zeit (in Stunden): 1991
Stunden Durchschnittliche Saugzeit (in Stunden): 9,05
Stunden Median (Mittelwert): 5 Stunden
Definition Median:
Der Median (Zentralwert) ist der Wert, der genau in der Mitte einer Datenverteilung liegt. Er teilt die Daten in zwei Hälften. 50% der Daten sind kleiner gleich des Medians, 50% sind größer gleich des Medians.
Um den Median zu berechnen, werden die Daten nach ihrer Größe geordnet:
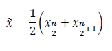
Ist die Anzahl der Daten ungerade, ist genau der mittlere Werte der Median:
![]()
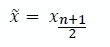
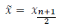
Ist die Anzahl der Daten gerade, ist der Median das arithmetische Mittel der
beiden mittleren Werte:


Wir haben absichtlich, darauf verzichtet, den Messwert 72 Stunden in unseren Berechnungen als „Ausreißer“ zu bezeichnen, weil wir ihn so aus dem Datensatz entfernen müssten. Von einem Ausreißer in der Statistik spricht man dann, wenn ein Messwert nicht in die Reihe der anderen Messwerte zu passen scheint.
Wir gehen davon aus, dass alle Probanden die Fragen nach bestem Wissen beantwortet haben. Es ist durchaus möglich, dass die Zecke erst 3 Tage nach einem Waldspaziergang entdeckt wurde und zwischenzeitlich keine weiteren Aufenthalte im Freien stattgefunden haben, der Befragte die Zecke erst nach 72 Stunden (3 Tagen) entdeckt hat.
Große Merkmalswerte beeinflussen das arithmetische Mittel stark nach oben. Der Median hingegen liegt genau in der Mitte einer Datenverteilung und ist robust gegen große Merkmalswerte.
Uns ist an maximaler Transparenz in der statistischen Auswertung gelegen. Daher wurden alle auswertbaren Datensätze einbezogen. Wir erklären diesen Teil der Statistik so genau, weil uns die Verständigung auf Augenhöhe mit unseren Lesern wichtig ist. Wir alle erreichen Sicherheit im Umgang mit Daten nur darüber, dass wir den Inhalt verstehen und selber nachvollziehen können.
In dieser Zusammenfassung sind diese Ergebnisse geeignet, einem wissenschaftlichen Fachpublikum vorgestellt zu werden.

108 der 220 Befragten hatten ein Erythema migrans (Wanderröte), 112 nicht.

132 der 220 Befragten hatten im zeitlichen Zusammenhang nach Entfernung der Zecke grippeähnliche Symptome, 88 nicht.

203 der 220 Befragten kennen Erschöpfung, Leistungsverlust, fehlende Ausdauer/ Kondition, 17 nicht.

157 der 220 Befragten kennen Gelenkschmerz/-schwellung Arme/Hände/Finger, 63 nicht.
158 der 220 Befragten kennen Gelenkschmerz/-schwellung Beine/ Füße, 62 nicht.

171 der 220 Befragten kennen Rücken- und Schulterschmerzen, 49 nicht.

177 der 220 Befragten kennen Kopf- und Nackenschmerzen mit Steifigkeit, 43 nicht.

192 der 220 Befragten kennen Brennen, Stechen, Kribbeln an unterschiedlichen Körperstellen, 28 nicht.

170 der 220 Befragten kennen Sehstörungen, Schleier/ Schlierensehen, entzündliche Augenveränderungen, 50 nicht.

152 der 220 Befragten kennen Hörstörungen, Pfeifen oder Rauschen oder Brummen, Tinnitus, 68 nicht.

151 der 220 Befragten kennen Taubheitsgefühle / Lähmungserscheinungen, 69 nicht.

190 der 220 Befragten kennen situationsunangemessenes Frieren oder Schwitzen, verändertes Temperaturempfinden, 30 nicht.

152 der 220 Befragten kennen Gang und Greifunsicherheit, 68 nicht.

145 der 220 Befragten kennen Störungen der Feinmotorik/Koordinationsstörungen, 75 nicht.

164 der 220 Befragten kennen nächtliches Schwitzen, 56 nicht.

117 der 220 Befragten kennen nächtlicher Harndrang, 103 nicht.

190 der 220 Befragten kennen muskelkaterähnliche Gefühle ohne vorherige Belastung, 30 nicht.

125 der 220 Befragten kennen Blasen- und sexuelle Funktionsstörung, 95 nicht.

189 der 220 befragten kennen Schlafstörungen (zu viel bzw. zu wenig und/oder schlechtes Ein- / Durchschlafen), 31 nicht.

174 der 220 Befragten kennen Schwindel, 46 nicht.

199 der 220 Befragten kennen Konzentrations-, Denk-, Wahrnehmungs- oder Orientierungsstörung, 21 nicht.

192 der 220 Befragten kennen Wortfindungsstörungen / Vergesslichkeit, 28 nicht.

181 der 220 Befragten kennen „Nebel“ im Kopf / demenzähnliche Symptome, 39 nicht.

116 der 220 Befragten kennen psychiatrische Symptome, 104 nicht.

156 der 220 Befragten kennen Kurzatmigkeit und Atemnot bei nur geringer Belastung, 64 nicht.

101 der 220 Befragten kennen Atemwegsinfekte, 119 nicht.

160 der 220 Befragten kennen Herz-Kreislaufsymptome z. B. Blutdrucksteigerungen, Herzrhythmusstörungen, Herzklopfen, 60 nicht.

151 der 220 Befragten kennen Magen/Darmsymptome, 69 nicht.

136 der 220 Befragten kennen plötzliche Gewichtsveränderungen, Zu-/Abnahme ohne Änderung der Ernährung, 84 nicht.

143 der 220 Befragten kennen Hautsymptome – Juckreiz, Veränderungen etc., 77 nicht.

99 der 220 Befragten kennen Haarausfall, 121 nicht.
181 der 220 Befragten kennen das Auftreten der Symptome in Schüben mit symptomarmen Intervallen in individuell unterschiedlicher Länge, 39 nicht.
Sie wollen selbst an unserer Umfrage teilnehmen?
www.borreliose-nachrichten.de




